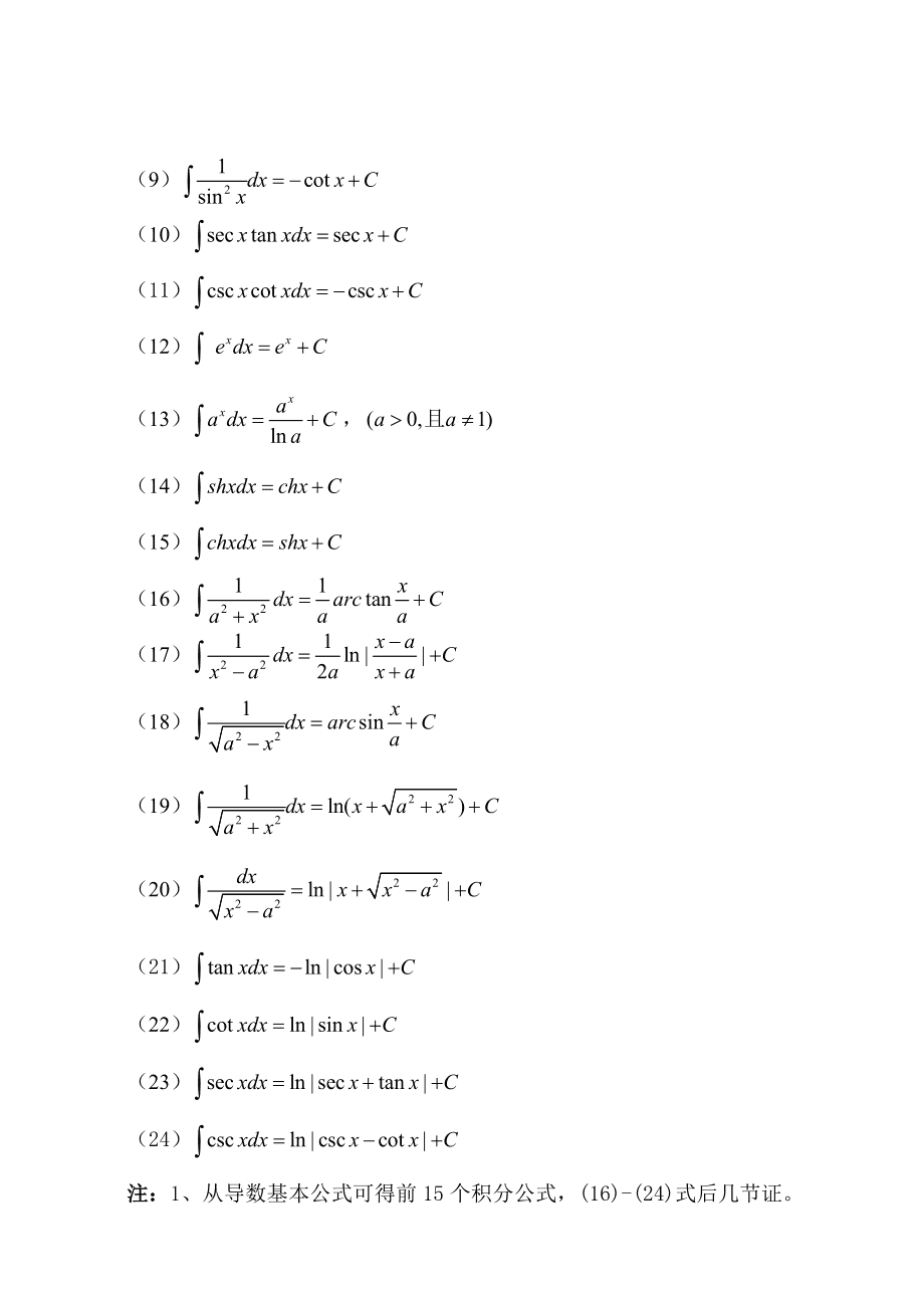
知乎等价狗公式